为了对抗疫一线工作人员表示感谢,向所有在本次抗疫中牺牲的中华同胞致敬。3月8日至4月5日,校区团委社团联合会青春农子协会举办了“心系武汉,携手战‘疫’——我给武汉写封信”活动,以此向前线工作人员致以崇高的敬意。
考虑到疫情需要,本次活动仍以线上运营的方式进行。在此次活动中,参与同学以“向奋战在一线的医护人员致敬”为主题,以书信和绘画等形式向协会理事投稿,通过协会负责人筛选后,统一打印并寄往前线武汉。
本次活动旨在通过网络书信方式,积极响应国家全民抗疫的号召,呼吁同学们,即使不能像医护人员一样奋战一线,但我们仍然可以站在后方为抗疫战士加油打气,还能通过居家隔离,勤洗手、勤通风、勤锻炼等方式自我保护。不给医护人员添负担,不给国家添乱,就是对防控最大的贡献。
(文/许小梅 黄淑倩 图/万浪 唐举帅)

活动作品

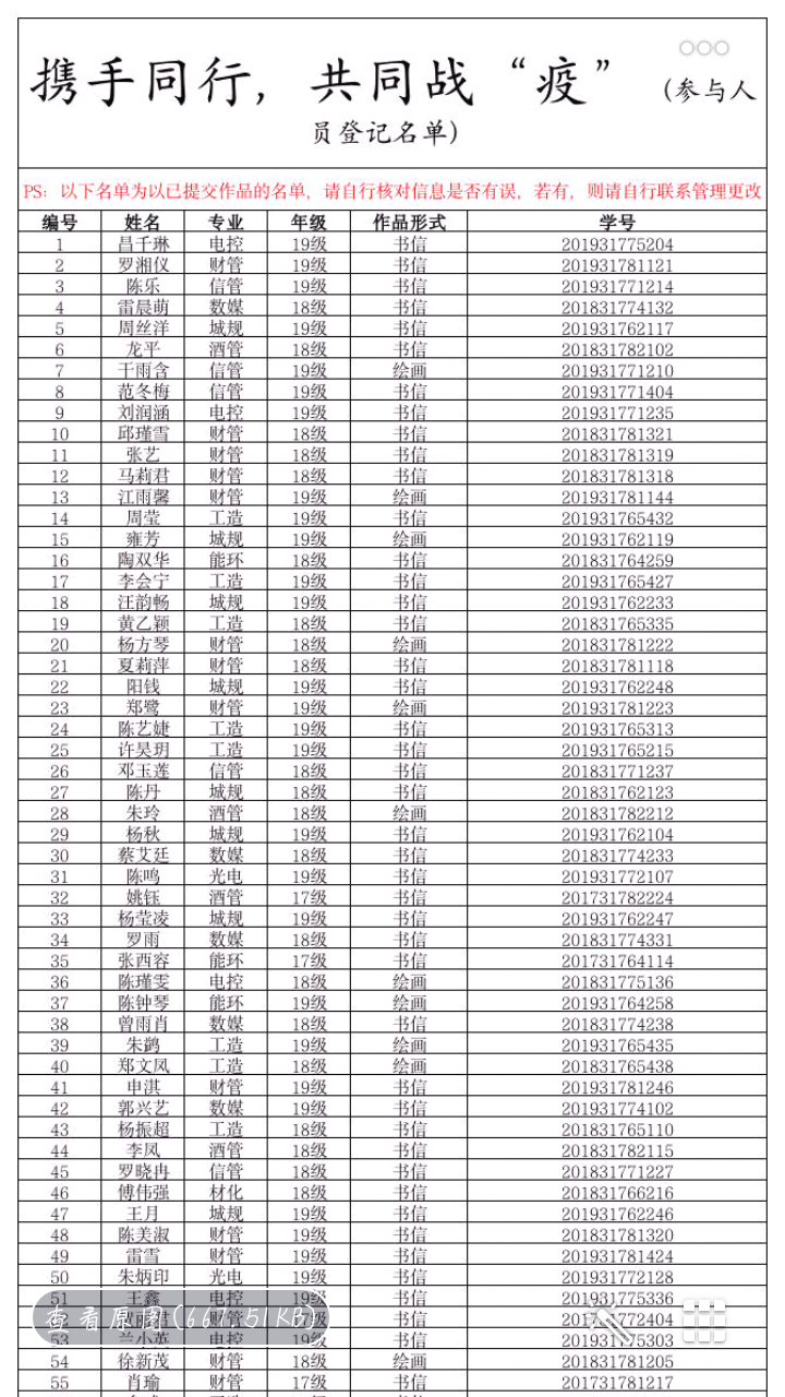
参与同学